KPSS Matematik Deneme Sınavı 17
Tebrikler - KPSS Matematik Deneme Sınavı 17 adlı testimizi başarıyla tamamladınız.
Sınavda size %%TIME_ALLOWED%% saniye verildi %%TIME_USED%% saniyede sınavı tamamladınız.
Bu sınavda soruların %%TOTAL%% soruya karşılık, %%SCORE%% doğru %%WRONG_ANSWERS%% yanlış cevap verdiniz.
Sınavdan aldığınız puan: %%PERCENTAGE%%
Sınav sonucunuz hakkındaki değerlendirmemiz: %%RATING%%
Yanıtlarınız aşağıdaki gibidir.
Soru 3 |
x ve y tam sayı olmak üzere x . y = 18
olduğuna göre x + y toplamının alacağı en küçük değer kaçtır?
11 | |
9 | |
-9 | |
-11 | |
-19 |
3 numaralı soru için açıklama
x ve y tam sayı iken; x . y = 18 ise x = -1 ve y = -18 alınırsa x + y nin en küçük değeri —1 — 18 = —19 olur.
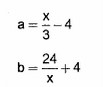
Soru 4 |
a ve b birer tam sayıdır.
olduğuna göre x in alabileceği en büyük tam
sayı değeri için a - b farkı kaçtır?
-1 | |
-6 | |
-9 | |
-12 | |
-15 |
Soru 5 |
x - 3 ile x + y - 2 aralarında asal sayılardır.
21(x + y - 2) = 27(x - 3)
olduğuna göre x . y çarpımı kaçtır?
120 | |
48 | |
36 | |
10 | |
8 |
Soru 6 |
x, y, z doğal sayılardır.
x + 5y = 4z + 6
olduğuna göre aşağıdakilerden hangisi her zaman çifttir?
x . y | |
y . z | |
x + y | |
x + z | |
y + z |
Soru 8 |
Üçün katı olan ardışık üç pozitif çift sayının top
lamı iki basamaklı bir sayı ise bu sayıya “üçleme”
denir.
Buna göre üçleme sayıların toplamı kaçtır?
240 | |
248 | |
252 | |
256 | |
260 |
8 numaralı soru için açıklama
Üçün katı olan ardışık üç çift sayı 3(2n), 3(2n + 2), 3(2n + 4) olsun. Bu sayıların toplamı üçleme sayı ise; 6n + 6n + 6 + 6n + 12 = 18n + 18 olur, n yerine 1, 2, 3, 4 değerlerini verirsek; 36, 54, 72, 90 sayı ları bulunur. 36 + 54 + 72 + 90 = 252
Soru 10 |
Üç basamaklı AB3 sayısı x ile gösterildiğine
göre, dört basamaklı AB33 doğal sayısının x
cinsinden eşiti aşağıdakilerden hangisine eşittir?
10x + 23 | |
10x - 23 | |
10x + 3 | |
10x - 3 | |
10x + 30 |
Soru 12 |
8 | |
10 | |
11 | |
12 | |
13 |
Soru 13 |
20 | |
21 | |
23 | |
24 | |
26 |
Soru 14 |
5 ile bölündüğünde 1 ,4 ile bölündüğünde 2 kalanını veren tüm iki basamaklı doğal sayıların toplamı kaçtır?
214 | |
224 | |
234 | |
244 | |
254 |
14 numaralı soru için açıklama
Sayılar AB şeklinde olsun. AB = 5k + 1 = 4n + 2 Sayılara 14 ekleyelim. AB + 14 = 5k + 15 = 4n + 16 AB + 14 = OKEK(5,4) = 20 AB + 14 = 20 . k (k € z+) k = 2 için AB = 26 k = 3 için AB = 46 k = 4 için AB = 66 k = 5 için AB = 86 olur. 26 + 46 + 66 + 86 = 224
Soru 16 |
a, b, c gerçei sayıları için a³ . c = 0 a² . b³ > 0 a . b < 0
olduğuna göre, aşağıdaki sıralamalardan hangisi doğrudur?
c > b > a | |
b > c > a | |
b > a > c | |
a > b > c | |
a > c > b |
Soru 17 |
x < y < O < z olmak üzere
|x + y | - | z - x | + |y -z |
ifadesinin eşiti aşağıdakilerden hangisidir?
-2y | |
-2x | |
x - y | |
x - y + z | |
x + y - z |
Soru 21 |
Bir karışımda A, B ve C maddeleri bulunmakta
dır. Bu karışımda bulunan B maddesinin ağırlığı
A maddesinin beşte üçüne, C maddesinin ağırlığı
ise A maddesinin ağırlığının onda dokuzuna eşittir.
Buna göre, karışımın ağırlıkça yüzde kaçı B
maddesidir?
18 | |
20 | |
24 | |
28 | |
30 |
Soru 22 |
Bir manavda armutun kilogram satış fiyatı 4 TL,
kirazın kilogram satış fiyatı 5 TL’dir. Bu iki meyve
den toplam 28 kilogram alan Arda, manava 127 TL
ödemiştir.
Buna göre Arda kaç kilogram armut almıştır?
12 | |
13 | |
14 | |
15 | |
16 |
Soru 23 |
Bir öğretmen, sınıftaki öğrencileri 15 kişilik bir A
grubu ve 12 kişilik bir B grubu olmak üzere iki gruba ayırdıktan sonra her iki gruba eşit sayıda bayrak veriyor. Bu bayraklar grup içindeki öğrenciler
arasında eşit olarak paylaşılıyor. Daha sonra, her bir gruptan ikişer öğrenci bayraklarıyla beraber ayrılıyor.
Son durumda; A grubunun toplam bayrak sayısı, B grubunun toplam bayrak sayısından 5
fazla olduğuna göre, öğretmen her bir gruba kaç bayrak vermiştir?
60 | |
120 | |
140 | |
150 | |
180 |
Soru 25 |
Beyaz topların 1, 3, 4, 5 ve kırmızı topların 2, 6, 7
ile numaralandırıldığı bir torbadan toplamları asal
olacak şekilde iki farklı renkte top seçiliyor.
Bu seçim kaç farklı şekilde yapılabilir?
6 | |
7 | |
8 | |
9 | |
10 |
25 numaralı soru için açıklama
(1,2), (1, 6), (3, 2), (4, 7), (5, 2), (5, 6) 6 değişik şekilde seçim yapılabilir.
Soru 26 |
Hilesiz bir zar art arda 2 kez atılmaktadır.
İkinci atışta gelen sayının birinci atışta gelen
sayıdan büyük olma olasılığı nedir?
Soru 29 |
Bir kenar uzunluğu 4 birim olan bir küpün birbirine
paralel olmayan ve ortak bir noktası olmayan her
hangi iki kenarının orta noktaları işaretleniyor.
Bu iki nokta arasındaki uzaklık kaç birimdir?
Soru 30 |
Dik koordinat düzleminde, t bir pozitif gerçel sayı
olmak üzere,
y + 2x = t
y - x = t
doğruları ve x ekseni arasında kalan kapalı bölge
nin alanı 12 birim karedir.
Buna göre, t kaç birimdir?
1 | |
2 | |
3 | |
4 | |
5 |
Sınavı tamamlamak için butona tıklayınız, yanlışlarınız gösterilecektir.
30 tamamladınız.
| Liste |




Cevap Bırak